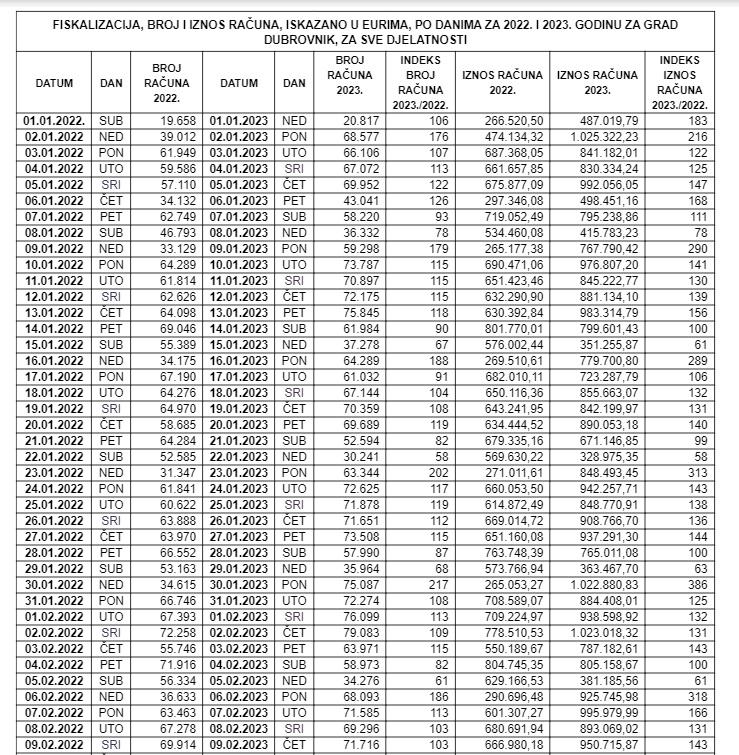
U protekloj godini na području Dubrovnika izdano je više od 40 milijuna računa, dok je njihov ukupni iznos bio 883 milijuna eura! U usporedbi s godinom prije, odnosno 2022., riječ je o porastu potrošnje od 21 posto. Naime, tada je izdano nešto više od 38 milijuna računa, a ukupan prihod bio je gotovo 730 milijuna eura. Jesu li Dubrovčani i njihovi gosti više trošili ili su tome kumovale više cijene, ne znamo, no u određenim se datumima kroz godinu vide veće razlike. Iz Porezne uprave su nam dostavili podatke iz sustava fiskalizacije, broj i iznos računa, za razdoblje od 1. siječnja do 31. prosinca 2023. godine i za isto razdoblje 2022. godine, za grad Dubrovnik te za sve djelatnosti na dnevnoj razini. Podaci su iskazani u eurima.
Milijunski iznos već 2. siječnja
Prvog dana 2023. godine izdano je blizu 21 tisuće računa, oko tisuću više nego istog dana 2022. godine. No, njihov iznos je bio dvostruko veći. Naime, protekle se godine tog dana u Dubrovniku potrošilo skoro pola milijuna eura, a 2022. nešto više od 260 tisuća eura. Dan iza (2. siječnja) u 2023. smo ostvarili dvostruko više računa nego u 2022. i premašili milijun eura u iznosu računa. Primjerice, milijunski iznos u eurima u 2022. godini premašen je tek 1. travnja, dok je do tog datuma u 2023. godini taj iznos postignut više od 30 puta! Samo dan iza blagdana Sveta tri kralja, dolazimo do situacije u kojoj je izdano manje računa, a ostvaren je veći iznos. Tog je 7. siječnja prošle godine, izdano 58 tisuća računa, a njihov iznos je bio blizu 800 tisuća eura. Na isti dan 2022., ‘isprintano’ je 62 tisuće računa, a ostvaren je iznos od 720 tisuća eura. Taj se primjer može vidjeti i na dan poslije Feste sv. Vlaha. Pa je tako tada izdano 59 tisuća računa s iznosom od 805 tisuća eura. Dok je u 2022. istog dana izdano njih skoro 72 tisuće da bi ukupan iznos bio 804 tisuće eura! Prošle se godine dalo naznačiti kako je već početkom travnja počela prava sezona. Naime, 5. travnja 2023., prvi je put zabilježeno preko 100 tisuća računa. Samo dan iza, ukupni iznos računa premašio je dva milijuna eura. Istog dana 2022. godine Dubrovčani i njihovi gosti potrošili su ‘tek’ 1,1 milijun eura. Treba istaknuti kako je iznos od dva milijuna eura u računima u 2022. ostvaren 13. svibnja! Dok je dan prije u 2023. godini (12. svibnja) već bilo potrošeno 3 milijuna eura! Inače, taj je iznos potrošen u 2022. godini tek 4. lipnja, dakle skoro mjesec dana nakon. U principu, prema našim opažanjima, trošenje naših sugrađana, kao i gostiju, manje je vikendima nego ostalim danima.
Rekordi u kolovozu
Rijetko bi se dogodili dani kad bi iznos računa u 2022. bio veći nego u 2023. godini. To se ipak, primjerice, dogodilo 18. lipnja kad je iznos računa bio 3,6 milijuna eura u 2022., dok je on u prošloj godini istog dana bio 3,3 milijuna eura. Treba istaknuti kako je tada, prije dvije godine izdano 20 tisuća računa više. Ljeto donosi potrošene iznose od preko tri i četiri milijuna eura, a prvi put se u prošloj godini ukupan iznos u jednom danu popeo iznad pet milijuna već 7. srpnja, u mjesecu kad je (logično) inače zabilježen znatno veći iznos potrošnje. Tog je dana u 2022. potrošeno ‘tek’ 3,8 milijuna eura. Do brojke od pet milijuna eura u toj smo godini došli 6. kolovoza, i to jedini put (dok se on u 2023. ponovio više puta). Bio je to i rekordni dan u 2022. s čak 300 tisuća eura većim iznosom nego istog dana u 2023. godini (uz 30 tisuća više izdanih računa). Najviše izdanih računa u 2022. godini bilo je dana 9. kolovoza, dok je ukupan iznos računa bio 4,9 milijuna eura. Primjerice, istog je dana u 2023. izdano dvije tisuće manje računa, dok je iznos računa bio petomilijunski. U kolovozu prošle godine također su ‘padali’ rekordi. Najveća potrošnja od gotovo 5,8 milijuna eura zabilježena je 4. kolovoza, a izdano je 197 tisuća računa. Najviše izdanih računa bilo je 16. kolovoza, a ni iznos nije zanemariv. Riječ je o skoro 5,3 milijuna eura. Zanimljivo je, primjerice, kako je 12. kolovoza prošle godine zabilježen 100 tisuća eura veći iznos, nego istog dana 2022. godine, a bilo je 2 tisuće računa manje izdano. Naime, ostvaren je iznos od također skoro 5,8 milijuna eura, dok je izdano 179 tisuća računa.
Neradne nedjelje
Već u nedjelju, 1. listopada u 2023. godini dolazi do osjetnog smanjenja broja izdanih računa. Naime, od tada smo, skoro svake nedjelje, mogli vidjeti zatvorena vrata brojnih butiga. Prema odredbama Zakona o trgovini, koje su stupile na snage 1. srpnja, ograničava se rad na sveukupno 16 nedjelja u godini. Pa je tako prvog dana u listopadu izdano 95 tisuća računa, za deset tisuća manje nego istog dana u 2022. godini. Takav se trend nastavio i tijekom idućih nedjelja, a vidljivo je i kako bi svaki ponedjeljak imao enormno veći broj izdanih računa u usporedbi s 2022. godinom. I Badnjak je protekle godine ‘pao’ na nedjelju što se odrazilo na broj računa. Tog je dana u Dubrovniku izdano gotovo 43 tisuće računa, dok je ukupan iznos računa bio 560 tisuća eura. Ništa osim ugostiteljskih objekata i INA-e nije ni radilo. Što se tiče Badnjaka 2022., tada je izdano gotovo 62 tisuće računa, a ukupan iznos bio je nešto veći od 800 tisuća eura. Na Božić je u obje godine bilo izdano oko 13 i pol tisuća računa, no iznos je u 2023. bio za oko 30 tisuća eura veći, odnosno bio je 207 tisuća eura. Stara godina je lani ponovno ‘pala’ u nedjelju. Tako je izdano 10 tisuća računa manje nego u 2022. godini, a i ukupan iznos je bio manji za 330 tisuća eura.
Iz tiskanog izdanja DuLista

